Oral Sphere

Journal of Dental and Health Sciences

Oral Sphere Journal of Dental and Health Sciences

Oral Sphere Journal of Dental and Health Sciences (OSJDHS), a publication focused on topics related to oral health, dental care, and related health sciences, established in 2024, is a peer-reviewed, print and online, quarterly journal that publishes articles in English. more...

ISSN (Online): 3049-2904

ISSN (Print): 3107-6262


189

Authors

76

Articles Submitted

54

Published Articles

21140

Total Views

9973

Total Downloads

Current Issue

Review Article
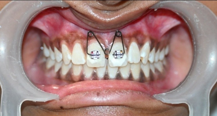
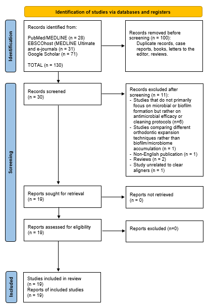
Oral Microbial and Biofilm Changes in Response to Clear Aligners: A Scoping Review
189 79
DOI: 10.63150/osjdhs.2026.19
Read Article
Image of Oral Microbial and Biofilm Changes in Response to Clear Aligners: A Scoping Review
Review Article
Effectiveness of Vaccination Programs in Reducing Infectious Diseases
103 81
DOI: 10.63150/osjdhs.2026.20
Read Article
Image of Effectiveness of Vaccination Programs in Reducing Infectious Diseases
Review Article
Non-Invasive Laser Technologies for Early Detection of Oral Cancer and Dental Diseases
135 66
DOI: 10.63150/osjdhs.2026.18
Read Article
Image of Non-Invasive Laser Technologies for Early Detection of Oral Cancer and Dental Diseases
Case Report
Closure of Midline Diastema Following Frenectomy with M-Spring: A Case Report
104 68
DOI: 10.63150/osjdhs.2026.17
Read Article
Image of Closure of Midline Diastema Following Frenectomy with M-Spring: A Case Report
Case Report
Developmental Enamel Defects Mimicking Mulberry Molars in a Syphilis-Negative Patient: A Case Report
89 61
DOI: 10.63150/osjdhs.2026.13
Read Article
Image of Developmental Enamel Defects Mimicking Mulberry Molars in a Syphilis-Negative Patient: A Case Report
Case Report
Myoepithelioma in Mandibular Gingiva: A Rare Case Report
130 91
DOI: 10.63150/osjdhs.2026.16
Read Article
Image of Myoepithelioma in Mandibular Gingiva: A Rare Case Report
Original Research
Prevalence and Distribution of Musculoskeletal Disorders among Dental Students in AIMST University: A Cross-Sectional Study
130 87
DOI: 10.63150/osjdhs.2026.15
Read Article
Image of Prevalence and Distribution of Musculoskeletal Disorders among Dental Students in AIMST  University: A Cross-Sectional Study
Original Research
Surgical vs. Non-Surgical Treatment Modalities for Temporomandibular Joint Ankylosis: A Comparative Study
148 59
DOI: 10.63150/osjdhs.2026.14
Read Article
Image of Surgical vs. Non-Surgical Treatment Modalities for Temporomandibular Joint Ankylosis: A Comparative Study
Original Research
Assessment of Patients’ Concerns and Misconceptions Regarding Periodontal Treatment in a Tertiary Care Dental Hospital: A Cross-Sectional Study
147 65
DOI: 10.63150/osjdhs.2026.12
Read Article
Image of Assessment of Patients’ Concerns and Misconceptions Regarding Periodontal Treatment in a Tertiary Care Dental Hospital: A Cross-Sectional Study
Original Research
Comparative Evaluation of Dexamethasone and Methylprednisolone for Pain, Swelling, and Trismus After Mandibular Third Molar Surgery: A Prospective Randomized Clinical Study
165 112
DOI: 10.63150/osjdhs.2026.11
Read Article
Image of Comparative Evaluation of Dexamethasone and Methylprednisolone for Pain, Swelling, and Trismus After Mandibular Third Molar Surgery: A Prospective Randomized Clinical Study

Most Viewed Articles

Image of Dry Socket: A review of its etiology, diagnosis and its management
Review Article
Dry Socket: A review of its etiology, diagnosis and its management
1237 353
DOI: 10.63150/osjdhs.2025.04
Read Article
Image of Assessing Knowledge, Attitudes, and Practices of Augmented Reality Technology in Dentistry: A Cross-Sectional Survey
Original Research
Assessing Knowledge, Attitudes, and Practices of Augmented Reality Technology in Dentistry: A Cross-Sectional Survey
993 434
DOI: 10.63150/osjdhs.2025.30
Read Article
Image of USAG-1 Inhibition: Paving the Way for Lab-Grown Tooth Regeneration in Modern Dentistry
Review Article
USAG-1 Inhibition: Paving the Way for Lab-Grown Tooth Regeneration in Modern Dentistry
779 282
DOI: 10.63150/osjdhs.2025.29
Read Article
Image of Neurological Oro-facial manifestations of COVID-19: A scoping review
Review Article
Neurological Oro-facial manifestations of COVID-19: A scoping review
722 231
DOI: 10.63150/osjdhs.2025.6
Read Article
Image of Assessment of Overall Self-Care Among the East Indian Population: An Experimental, Observational, and Validated Study
Original Research
Assessment of Overall Self-Care Among the East Indian Population: An Experimental, Observational, and Validated Study
684 355
DOI: 10.63150/osjdhs.2025.9
Read Article
Image of 3D Printing in Dentistry: A Narrative Review
Review Article
3D Printing in Dentistry: A Narrative Review
645 345
DOI: 10.63150/osjdhs.2025.28
Read Article
Image of Age Estimation in Living Adults: An Investigation into Pulp to Tooth Area Ratios
Original Research
Age Estimation in Living Adults: An Investigation into Pulp to Tooth Area Ratios
622 308
DOI: 10.63150/osjdhs.2025.20
Read Article

Stay Updated

Subscribe to our newsletter to receive the latest journal updates, calls for papers, and announcements